DISCONTINUED PRODUCT
PDX - High Speed Voltage Amplifiers
Piezoelectric Drivers

PDX Series Specifications
Calculate Power Bandwidth PDX150b
Calculate Power Bandwidth PDX200b
Specifications:
| PDX Series High-Speed Voltage Amplifiers with Dynamic Current Control |
||||||
|---|---|---|---|---|---|---|
| Model | PDX150 | PDX200 | ||||
| Variant | b | c | d | b | c | d |
| Peak Current |
2 A | 5 A | 10 A | 1.5 A | 5 A | 10 A |
| Overload Time |
100 ms | 1 ms | 100 us | 100 ms | 1 ms | 100 us |
| RMS Current |
1.6 A | 1.1 A | ||||
| Voltage |
-30V to 150V* | -30V to 200V* | ||||
| Gain |
20 V/V | |||||
| Signal Bandwidth | Greater than 80 kHz (1uF Load) | |||||
| Power Bandwidth | 9.5 kHz | 7.2 kHz | ||||
| Offset |
From 0V to Full-Range with front panel adjustment |
|||||
| Input |
Differential input stage that eliminates ground loops and noise. Zin = 22kohm |
|||||
| Connectors |
BNC input, BNC Monitor Outputs, 2-Way LEMO 0B HV Output |
|||||
| Load |
Stable with unlimited capacitive loads | |||||
| Overload |
Thermal, current and voltage overload protection | |||||
| Noise |
Ultralow noise. Less than 320 uV RMS | |||||
| Environment |
0 - 40C (32-104F) Non-condensing humidity |
|||||
| Enclosure |
Rugged desktop enclosure with no fan or vents. Also mounts into a Eurocard subrack or DIN rail. Dimensions: 226 x 111 x 83 mm |
|||||
| Dimensions | 212.6 x 304.8 x 132.6 mm (w x d x h) | |||||
| Power Supply | 115 or 230/240 Vac | |||||
Features
The PDX voltage amplifiers set a new standard for the bandwidth and power of piezoelectric drives. The exceptional bandwidth with large capacitive loads and the high output current enables a range of new applications not previously possible. The PDX amplifiers are employed in demanding applications such as high-speed physics, video-speed microscopy, precision manufacturing and piezoelectric vibration control.
The PDX amplifiers are available in two output voltage ranges and three peak current ranges. The "b" variant is designed for general purpose and scanning applications where peak current may last for up to 100 ms. The "c" variant is designed for applications where a large output current is required for a short period of time. The "d" variant provides up to 10 A of output current, but for the shortest time.
Key features include:
- -30V to 200V Output voltage range
- Up to 10A peak output current
- Exceptional full-power bandwidth up to 9.5 kHz
- Exceptional bandwidth with large capacitive loads
- Less than 300 uV RMS noise with a 10 uF load
- Stable with unlimited capacitive loads
- Front panel offset voltage adjustment 0V to 200V
- Comprehensive overload protection
- External shutdown
- Front panel monitoring of voltage and current
- Desktop or rack mounting options
Power Bandwidth
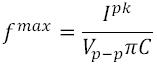
The power bandwidth is the maximum frequency sinewave that can be reproduced at full voltage. The b variants of the PDX150 and PDX200 are designed to maximize the power bandwidth in general purpose and scanning applications.
With a capacitive load, the maximum frequency sine wave is:

where Vpp is the peak-to-peak voltage and C is the load capacitance. Some values are tabluated below for typical load piezoelectric stacks capacitances as well as in the Power Bandwidth curve:
| Piezo Load Capacitance | PDX150b | PDX200b |
|---|---|---|
| 100 nF | *9.5 kHz | *7.2 kHz |
| 300 nF | 9.2 kHz | *7.2 kHz |
| 1.0 uF |
4.2 kHz | 2.3 kHz |
| 3.0 uF | 1.4 kHz | 790 Hz |
| 10 uF | 424 Hz | 230 Hz |
| 30 uF |
141 Hz | 79 Hz |
| 100 uF | 42 Hz | 23 Hz |
(*) With very small loads the power bandwidth is limited by the slew-rate, which is approximately 4.5 V/us. This can be doubled to 8 V/us if necessary.
Also of interest is the maximum amplitude sine-wave that can be delivered to a capacitive load versus frequency

Signal Conditioning
The differential input circuit eliminates ground-loops and noise resulting from the interconnection of different instruments.
Bias/Offset Voltage
A bias voltage of 0V to Full-Range is available from a potentiometer in the front panel.
Frequency Response
The PDX amplifiers have an extremely wide bandwidth and can tolerate any capacitive load. The frequency response and small-signal bandwidth are described in the following table and figure.
| Load Capacitance | Signal Bandwidth |
|---|---|
| No Load | 78 kHz |
| 100 nF | 200 kHz |
| 1.0 uF | 84 kHz |
| 10 uF | 27 kHz |
| 100 uF | 2.7 kHz |

Noise Performance Response
The PDX amplifiers are low noise devices designed to exceed the requirements of positioning and imagining systems with sub-atomic resolution. The following table lists some experimentally measured noise voltages.
| Piezo-Stack Load Capacitance | Bandwidth | Noise (RMS) |
|---|---|---|
| No Load | 78 kHz | 300 uV |
| 0.1 nF | 200 kHz | 320 uV |
| 1.0 uF | 84 kHz | 312 uV |
| 10 uF |
27 kHz | 280 uV |
| 100 uF | 2.7 kHz | 167 uV |
| 1000 uF | 270 Hz | 192 uV |
Enclosure
The PDX amplifiers are housed in a desktop enclosure that can be bolted together in a side-by-side configuration. Mounting in a standard 19-inch rack is also possible with the addition of rack-mount handles.
Options
The PDX amplifiers can be customized to meet a range of industrial or scientific requirements. Specific options include:
- 19-inch rack kit for two amplifiers
- 19 inch rack kit for a single amplifier
